六相永磁同步电机对拖系统

本图由AI生成
六相电机作为一项前沿技术,其发展历程可以追溯到二十世纪末。起初,六相电机的理论被提出,但由于技术难题和成本制约,长时间内没有得到普及。然而,随着科技的进步和电机驱动技术的不断创新,六相电机逐渐开始取得突破。近年来,一些企业和研究机构开始研究和生产六相电机,并在特定领域中取得了一些应用成果。六相电机有着广阔的应用前景,可以实现更加高效和可靠的电机驱动。
①驱动方式:六相电机就是利用六个不同相位的电流来驱动,可以实现更加灵活多变的驱动方式。而三相电机只有三个相位的电流,驱动方式相对于六相电机来说更为单一。
②动力输出:六相电机由于可以实现更加灵活的驱动方式,可以提供更高的动力输出。相对而言,三相电机在一些应用场景下可能会有动力输出不足的问题。
③效率和稳定性:六相电机由于采用了更加复杂的驱动方式,相对于三相电机来说,具有更高的效率和更好的稳定性。在各种负载下,六相电机的工作状态更加平稳可靠。

图1 六相驱动系统拓扑结构图
如图1所示,六相PMSM驱动器是由本公司自主研发的六个半桥模块组成,半桥模块使用的是RTM-PEH8025IF,驱动PMSM6phase,对拖的负载是一个三相永磁同步电机,让变频器工作在转矩模式,即可给六相电机加负载。

图2 六相SVPWM模型总体框架图
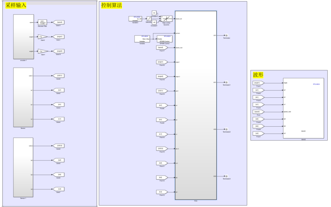
如图2所示,模型主要由采样输入、控制算法和波形三个部分组成,采样输入是用系统集成的各种传感器,来采集算法所需的准确数据,最终输入给算法,从而控制整个系统正常运行,我们可以通过WAVE和Variable模块来观测最终的结果是否正确。
采样输入
①采样输入的第一部分如下图所示,这是电机的编码器模块,运行闭环程序必不可少,主要给算法提供速度和位置角,此模块必须设置正确的控制频率(Control Frequency),采样通道(Channel Selection),电机极对数(Pole of Pairs),编码器线数(Resolution),设置无误才能给算法提供可靠的数据。

图3 编码器模块
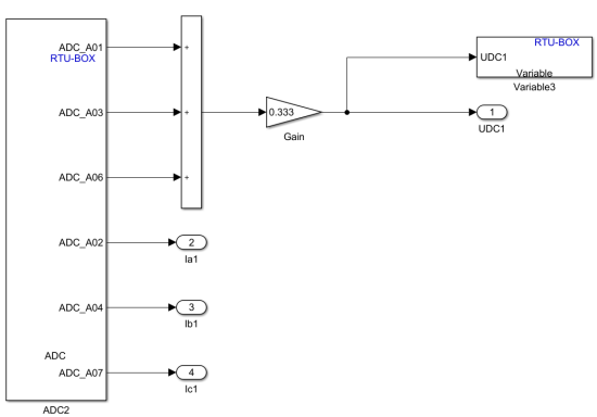
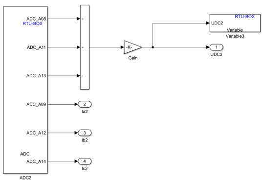
②采样输入的二三两组模块都是我们的ADC模块,主要采集的是六相电机的六相电流,还有直流母线电压,具体参数设定可通过控制器和所使用的功率器件手册设定。


图4 ADC采样模块
控制算法

图5 控制算法框架图
控制算法做了开环和闭环模型。
①开环模型

图6 电机开环模型
开环模型我们是将Ud给0,Uq和Fre用变量模块手动给值,给后面的算法进行计算,算出正确的调制比给PWM模块发波。
②闭环模型
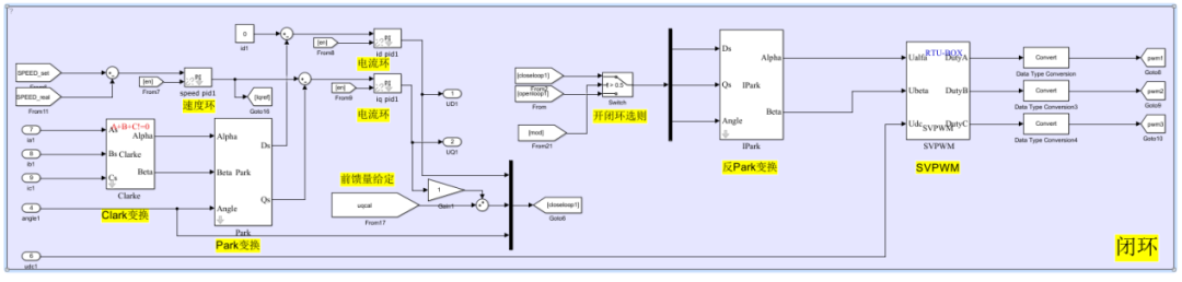
由图5我们可以看出六相电机不同于三相电机,他使用了两组SVPWM算法,因为测试的六相电机两组电机绕组角度相差30°,所以在第二组算法的角度部分减去了30°角,如图7所示。

图7 双三相绕组角度差

图8 电机闭环模型
图8详细介绍了电机闭环模型,这里我就以一组来介绍,之前的采样输入所采的电压电流以及电机的位置和速度都是给这些算法提供准确的数据,所以采样的设置是都正确,是决定电机是否能正常运行的必要条件。

图9 PWM模块
图9就是经过算法算出的最后的调制比的PWM输入模块,具体设置如下图所示,第一个模块比较特殊,同步模式设置为CTR=Zero,从第二个模块开始,同步模式设置为Synchronization Input,同时Phase Enable也要打开,开关频率设置为10000。


图10 PWM模块设置
波形
波形模块,主要就是用来观测一些比较重要的数据波形,比如六相电机的六相电流,电机的电角度以及你想要看的一些特殊的数据波形。主要设置的就是波形的范围,根据大体的参数范围进行设定。

图11 WAVE模块

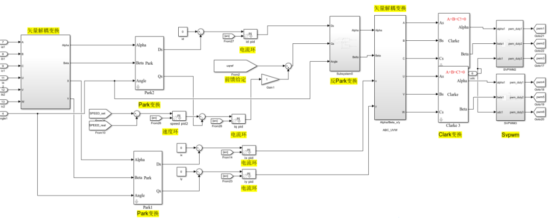
图12 双三相Svpwm算法
图12是双三相的控制算法,这个算法跟方案1的算法的区别是,先将六相的电流进行解耦变换成α、β、X和Y,再进行Park变换给电流环,电流环和速度环经过计算后,给反Park变换,再经过矢量变换变成ABC和UVW,最终经过两组SVPWM模块算出六相的调制比给PWM模块。

图13 六相PMSM的VSD坐标关系和变换公式
①开环模式:
测试条件
逆变器开关频率:10000HZ
Udc:100V
Freqset:5V
Uqset:6V
Speed:50r/min

②闭环模式(空载):
测试条件
逆变器开关频率:10000HZ
Udc:250V
Speed:1500r/min

③闭环模式(满载):
测试条件
逆变器开关频率:10000HZ
Udc:250V
Speed:1500r/min

④调试视频
经过系统组装、模型搭建和系统调试,证明了本公司控制系统可以正常控制六相永磁同步电机,且能长时间运行在满载状态。
Copyright © 2021 rtunit Inc. 保留所有权利 营业执照编号320121000202103010242苏ICP备2022027768号-1 技术支持:恒网
隐私政策 | 使用条款 | 销售政策 | 法律信息 | 网站地图